联系我们 | 院长信箱
  • 首页
  • 学院概况
    • 学院简介
    • 现任领导
    • 机构设置
    • 基地简介
  • 规章制度
    • 国家级
    • 省级
    • 校级
    • 院级
  • 招生宣传
    • 学历教育
    • 非学历教育
  • 下载中心
    • 学历教育
    • 非学历教育
    • 其它下载
  • 校园服务
通知公告
首页 / 通知公告 / 成教 / 正文
  • 院办
  • 成教
  • 培训

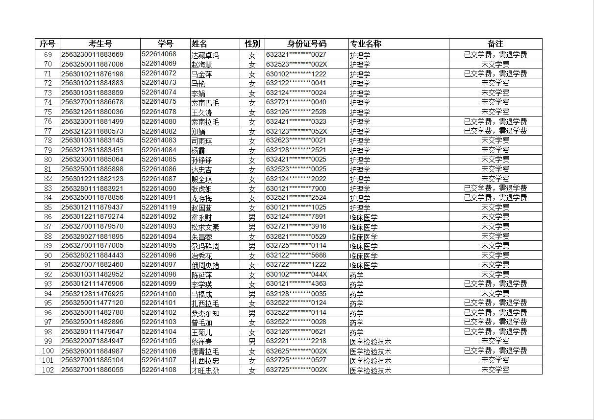
2026级高等学历继续教育放弃入学资格学生名单公示

信息来源: 发布日期:2026-03-25 点击次数:


分享:
  • 下一篇:青海大学继续教育学院2025年招生简章

青海省西宁市城西区胜利路8号

邮编:810001

版权所有:青海大学继续教育学院